PTO Organizational Documents and Meeting Minutes

 

The PTO Executive Board and General Membership have approved the 2025-2026 school year budget (approved August 2025).

PTO Organizational Documents

PTO Charter

PPE Bylaws

PTO Meeting Minutes

PTO Executive Board and General Membership Meeting minutes are posted below. Minutes for each month are posted after they are approved. This approval is typically granted a month after the meeting occurs.

May 20, 2025 – Executive Board Meeting Minutes

May 20, 2025 – General Board Meeting Minutes

March 18, 2025 – Executive Board Meeting Minutes

March 18, 2025 – General Board Meeting Minutes

February 18, 2025 – Executive Board Meeting Minutes

January 21, 2025 – Executive Board Meeting Minutes

December 17, 2024 – Executive Board Meeting Minutes

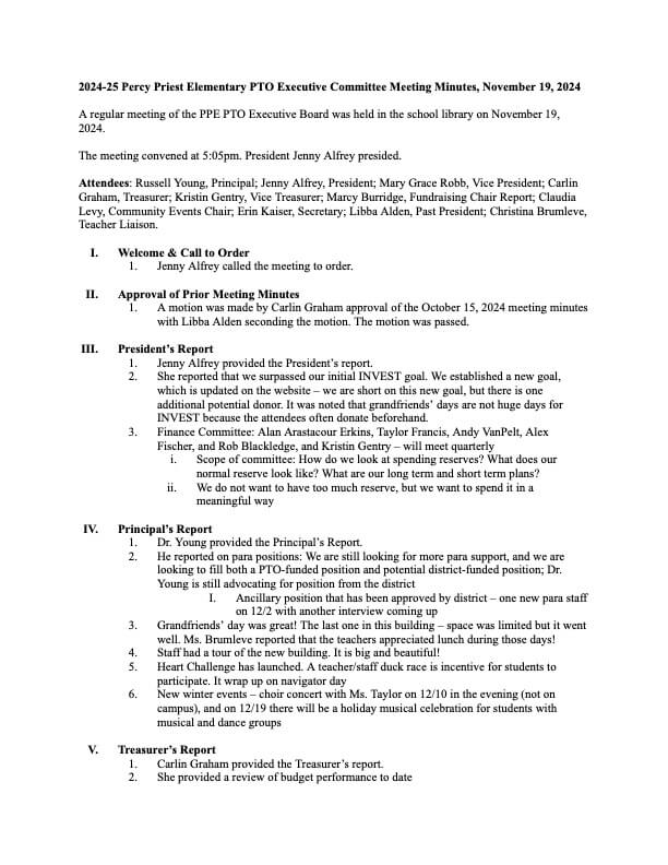
November 19, 2024 – Executive Board Meeting Minutes

October 15, 2024 – Executive Board Meeting Minutes

September 17, 2024 – General Membership Meeting Minutes

September 17, 2024 – Executive Board Meeting Minutes

August 20, 2024 – Executive Board Meeting Minutes

May 14, 2024 –  General Membership Meeting Minutes

May 14, 2024 –  Executive Board Meeting Minutes

April 16, 2024 – Executive Board Meeting Minutes

March 19, 2024 – Executive Board Meeting Minutes

February 13, 2024 – Executive Board Meeting Minutes

February 13, 2024 – General Membership Meeting Minutes

January 23, 2024 – Executive Board Meeting Minutes

November 12, 2023 – Executive Board Meeting Minutes

October 17, 2023 – Executive Board Meeting Minutes

October 17, 2023 – General Membership Meeting Minutes

September 12, 2023 – Executive Board Meeting Minutes

August 15, 2023 – Executive Board Meeting Minutes

May 24, 2023 – General Membership Meeting Minutes

May 22, 2023 – Executive Board Meeting Minutes

May 9, 2023 – General Membership Meeting Minutes

May 9, 2023 – Executive Board Meeting Minutes

May 2, 2023 – Executive Board Meeting Minutes

April 11, 2023 – Executive Board Meeting Minutes

March 7, 2023 – Executive Board Meeting Minutes

February 7, 2023 – Executive Board Meeting Minutes

January 10, 2023 – Executive Board Meeting Minutes

November 8, 2022 – Executive Board Meeting Minutes

October 4, 2022 – General Membership Meeting Minutes

October 4, 2022 – Executive Board Meeting Minutes

September 13, 2022 – Executive Board Meeting Minutes

August 16, 2022 – Executive Board Meeting Minutes

May 10, 2022 – General Membership Meeting Minutes

May 10, 2022 – Executive Board Meeting Minutes

April 12, 2022 – Executive Board Meeting Minutes

March 8, 2022 – Executive Board Meeting Minutes

February 8, 2022 – Executive Board Meeting Minutes

January 13, 2022 – General Membership Meeting Minutes

January 11, 2022 – Executive Board Meeting Minutes

November 9, 2021 – Executive Board Meeting Minutes

October 5, 2021 – General Membership Meeting Minutes

October 4, 2021 – Executive Board Meeting Minutes

September 14, 2021 – Executive Board Meeting Minutes

August 17, 2021 – Executive Board Meeting Minutes

May 11, 2021 – General Membership Meeting Minutes

May 11, 2021 – Executive Board Meeting Minutes

April 13, 2021 – Executive Board Meeting Minutes

March 22, 2021 – Executive Board Meeting Minutes

March 9, 2021 – General Board Meeting Minutes

March 9, 2021 – Executive Board Meeting Minutes

March 2, 2021 – Executive Board Meeting Minutes

February 9, 2021 – Executive Board Meeting Minutes

January 12, 2021 – Executive Board Meeting Minutes

November 17, 2020 – Executive Board Meeting Minutes

October 20, 2020 – Executive Board Meeting Minutes

September 15, 2020 – Executive Board Meeting Minutes

August 12, 2020 – Executive Board Meeting Minutes

Back to Top